環: えっと......割り算......かな......?
ピ: 惜しい。
環: え?
ピ: 惜しいなぁ。いい線いっとるんやけど、もし割り算がそれらの単元の苦手を生み出しているなら、割り算を練習したら分数や速さが得意になるん?
環: 残念ながら、そうはならないと思いますよ。計算でつまるとかじゃなくて、もっとこう、本質的な理解をしてもらえないというか......
ピ: せやろ。分数、割合、速さで算数嫌いが生まれる理由は、もっと根源的や。わかるか?
― ピタゴラスはニヤついて僕の眼を覗き込んだ。
ピ: それは、分数や速さが抽象的だからや。
̶ また出てきた。「抽象的」だ。
環: それ、どういうことですか?
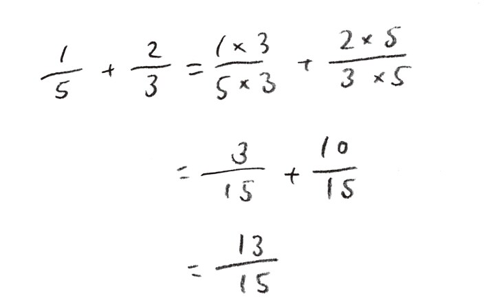
ピ: 分数からいってみよか。この問題やったら、小学生にどう教える?

環: えーと、通分ですね。分母が5と3で違うので、このままでは足し算できない。だから分母を15に揃えます。

ピ: なんでやねん!
環: え、これであってますよ。
ピ: そういう話やない。わしは、分数を習っている小学生の気持ちを代弁したんや。
環: だから、小学生にもわかりやすく説明しているつもりですけど......。
ピ: ちゃうちゃう! 小学生の気持ちになるとな、いま生徒は、世界が変わったことに気づいていないんや。
環: 世界が変わった?
ピ: そう、小学生に分数を最初に教えるとき、学校の先生も、自分も、わかりやすく身の回りの見えるもので説明しようとするやろ。例えば、1/5ならケーキを5等分した1つ分、2/3ならケーキを3等分した2つ分、みたいな感じや。
ちょっと、1/5のケーキと2/3のケーキを絵に描いてみい。いいか、下手でも適当でもいいから、必ず自分で描くんやで!
環: えーと、こんな感じですかね。

ピ: そうそう、分数を習いはじめたとき、算数の教科書にはこのように、ケーキの絵が描いてある。ケーキという、目に見える身近なものを使って分数を理解してもらおうということやな。これが具体性の世界や。
ところで、今度は、1/5+2/3をケーキの絵にしてみ。

環: うーん、さっきの絵とあまり変わりがなくなってしまいますが......。
ピ: なんでやねん!
環: え、いまツッコミどころですか?
ピ: そうやない。わしは分数の足し算を習った小学生の気持ちを代弁しているんや。先生の授業をしっかり聴いた真面目な小学生の頭の中には、ケーキの絵が浮かんでいる。いままさに、自分が描いた絵や。この絵のどこを見て、分母を15で揃えようなんて発想出てくる? なのに自分はいきなり通分する数式を書き出した。だから「なんでやねん!」て言いたくなるんや。