※第1回:「勉強だけ出来ても役に立たない」は負け惜しみではなかった──非認知能力の重要性(上) より続く
「非認知能力」が収入に与える影響
では個人の収入の変動を説明するうえで、認知能力ではないものとはいったい何なのだろうか。近年の経済学では、「非認知能力」に注目が集まっている。非認知能力とは何なのだろうか。
読んで字のごとく、学力テストやIQテストで計測することのできる「認知能力」に「非(あら)ず」というわけだ。勤勉性や、忍耐強さ、真面目さなどの性格的な特徴のことだ。
心理学では、「社会情緒的スキル」と呼ばれ、長く研究の対象になってきた(*2)。そして、2000年にノーベル経済学賞を受賞したシカゴ大のジェームス・ヘックマン教授らを中心に、非認知能力が将来の収入に与える影響が大きいことを明らかにする研究が続々と発表されている。
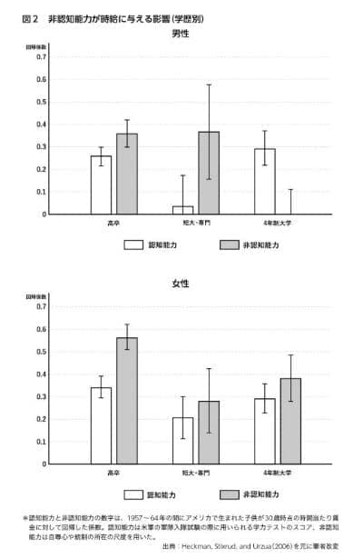
非認知能力が重要なのは、大企業で働くホワイトカラーだけなのではないかと思う人がいるかもしれない。ヘックマン教授らは[Heckman, Stixrud, and Urzua, 2006]、1957~64年の間にアメリカで生まれた子供を長期追跡したデータを用いて、非認知能力が30歳時点の賃金に与える影響を学歴ごとに推定している。
これをみると、大企業で働くホワイトカラーが多いとみられる4年制大学を卒業した男性にとって非認知能力の影響は大きくなく、女性や高卒や短大卒の男性にとって非認知能力の価値が高いことがわかる(図2)。
